Surfaces
Primitive Asteroids
Asteroids are rocky detritus from our Solar System's epoch of planet formation. I've measured the sizes, albedos, and compositions of asteroids, with an emphasis on primitive objects. Primitive asteroids are unlikely to have been strongly heated and differentiated (melted). Because they have remained cool, they are more likely to have retained water and organic materials, and may have been important to the beginnings of life on Earth.

Asteroid Themis spectrum and model continuum.
IRTF relative reflectance spectrum of asteroid (24) Themis (normalized to 2.4 μm; data from Campins et al. 2010) and model continuum. The model is a combination of reflected light (~λ 0.24) and thermal emission (NEATM model fit to Spitzer Space Telescope spectrum).

Themis absorption feature
IRTF relative reflectance spectrum of asteroid (24) Themis spectrum after removal of the model continuum. The data have a broad absorption feature centered near 3.1 μm. Rivkin & Emery (2010) model independently obtained and reduced data with a thin water-ice coating on the surface.
Cometary Nuclei
Similar to primitive asteroids, cometary nuclei are also remnants of the early Solar System and contributed to the early Earth's surface composition. However, comets formed in colder environments (i.e., farther from the Sun). Thus, they have retained a substantial amount of ice, and very volatile species, such has carbon dioxide, carbon monoxide, and methane. Although comets are known for the dust and gas that enshrouds and obscures their nuclei, we can directly observe the sufaces under some circumstaces, e.g., when the comet is far from the Sun and activity is low.

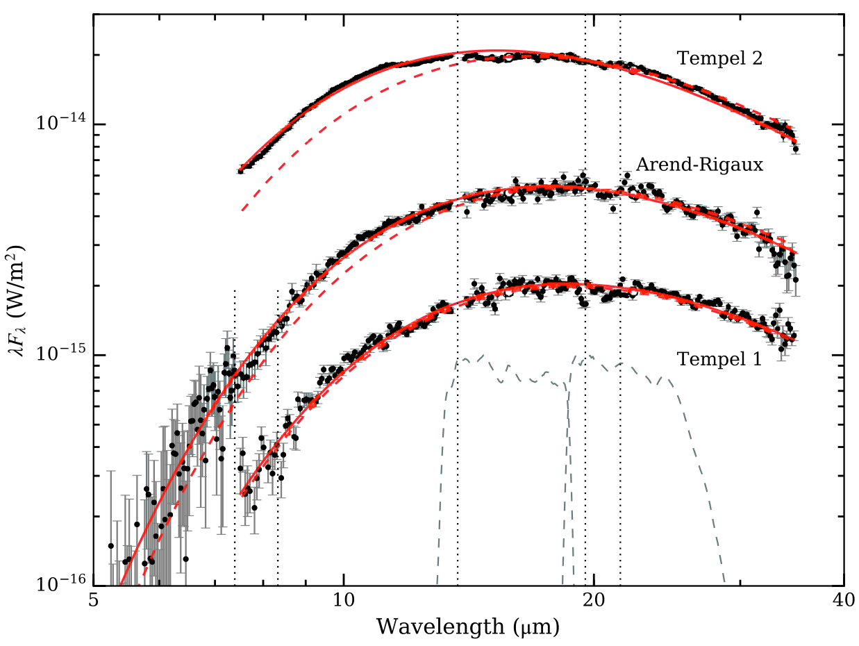
Thermal emission spectra of three comets
Spitzer Space Telescope spectra of three cometary nuclei: 10P/Tempel 2, 49P/Arend-Rigaux, and 9P/Tempel 1 (Fig. 3 of Kelley et al. 2017). Red solid lines are the best-fit thermal models. Red dashed lines are alternative thermal models based on 16- and 22-μm photometry (bandpasses shown as gray dashed lines). The composition of the surface, especially of the silicates, causes deviations from the smooth models near 7, 12, and 15 μm.

Similarities between cometary nuclei and Jovian D-type asteroids
Spectra of the nucleus of comet 10P/Tempel 2 and Jovian D-type asteroid (624) Hektor (Emery et al. 2006), after normalization by their respective thermal emission models. Approximate locations of similar spectral features are marked with vertical lines. The features are likely related to silicate materials on the surface, except the 15-μm feature, which remains unexplained (Kelley et al. 2017).
The Moon
The Moon, so close, but still full of science discoveries. I participated in the LCROSS Observing Campaign, when astronomers attempted to observe the aftermath of a NASA spacecraft impact on the Moon. The LCROSS mission successfully impacted a permanently shadowed crater on October 9, 2009. Permanently shadowed craters potentially preserve unusual lunar volatiles, like water ice. The goal was to excavate material from such a cold trap near the Moon's south pole and loft it into sunlight where it could be observed by a shepherding spacecraft, and astronomers on Earth.
I observed the impact at the IRTF with David Harker (UCSD) and John Rayner (UH/IfA). Below is a mosaic of the Moon near the south pole, and an image of the impact location. Despite our best efforts at Mauna Kea and those of many others, we did not detect the ejecta plume; it was faint!


